Grade 12 College Math Worksheets

Grade 12 College Math Worksheets - Filter by grade you are browsing grade 12 questions. Worksheet involves real world applications of concepts. There are 6 opportunities for practice on each worksheet. Our easy to print math worksheets are free to use in your school or home.

Math Worksheet College Math Problems Worksheets Like And Unlike Printable College Math

Math Worksheet College Math Problems Worksheets Like And Unlike Printable College Math

You can search sheets by topic. It is your responsibility to keep up with any lessons and practice questions. A concise, consumable resource to fully deliver the content for the mathematics of college technology 12 course.

Early Math Kindergarten 1St […]

These worksheets cover a wide range of subjects, including math, science, language arts, and social studies, ensuring that students have access to the resources they need to succeed in their final year. You can make an unlimited amount of printable math worksheets to your specifications instantly. Explore printable algebra worksheets for 12th grade.

Looking For Free Math Worksheets?

Grade 11 mixed math (mcf3m) grade 12 college math (map 4c) foundations for college mathematics (map 4c) course outline: Topics in this unit include: Quizizz is an innovative platform that offers a wide range of educational resources, including math worksheets for grade 12, to help teachers create engaging and interactive learning experiences for their.

These Worksheets Cover A Wide Range Of Topics, Including Linear Equations, Quadratic Functions, Exponential Growth And Decay, And.

Thousands of math problems and questions with solutions and detailed explanations are included. For the final examination mary card, trict school boardadvisors dr. Make sure you read the documents carefully so you know which work you are supposed to do.

Plus Each One Comes With An Answer Key.

Probability and statistics worksheets for grade 12 are essential resources for teachers who aim to provide their students with a comprehensive understanding of these mathematical concepts. These worksheets cover a wide range of topics, including probability distributions. Grade 10 grade 11 grade 12 college.

This Activity Includes:12 Budgeting 3 Items Up To $10 Worksheets In Color12 Budgeting 3 Items Up To $1.

A wide range of interactive tools to explore math. This site will contain lessons, practice questions and outlines for map 4c (grade 12 college math). Free lessons, worksheets, and video tutorials for students and teachers.

Topics In This Unit Include:

Each one has model problems worked out step by step, practice problems, as well as challenge questions at the sheets end. College and university educators sometimes need remedial resources for students to allow them. Twelfth grade (grade 12) trigonometry questions for your custom printable tests and worksheets.

You've Found Something Even Better!

Find all points of intersections of the 2 circles defined by the equations. (3785 views this week) multiplying (1 to 12) by 3 (100 questions). Power rule, quotient rule, and chain rule of derivatives, relationships between displacement, velocity, and acceleration.

That's Because Khan Academy Has Over 100,000 Free Practice Questions.

Algebra worksheets for grade 12 are an essential resource for teachers looking to provide their students with the necessary tools to excel in their math education. View questions in all grades. Meaning of worksheet icons this icon means that the activity is exploratory.

Become A Subscriber To Access Hundreds Of Standards Aligned.

Algebra and graphing , precalculus , practice tests and worksheets , calculus , linear algebra , geometry , trigonometry , math videos , math from grade 4 to grade 12 , statistics and. This is a great skill for students to work on as they work on independent living, budgeting and money skills! This follows chapter 2 of the grade 12 calculus and vectors mcgraw hill textbook and chapter 2 of the grade 12 calculus.

Just Choose Your Grade Level Or Topic To Get Access To 100% Free Practice Questions:

Free lessons, worksheets, and video tutorials for students and teachers. These worksheets cover a wide range of topics, including coordinate geometry, transformations, circles, and trigonometry, to name a few. Learn for free about math, art, computer programming, economics, physics, chemistry, biology, medicine, finance, history, and more.

Free Math Tutorials And Problems To Help You Explore And Gain Deep Understanding Of Math Topics Such As:

Grade 12 worksheets are an essential tool for teachers looking to provide their students with a comprehensive and engaging learning experience. Browse questions all subjects w / images (7032) by ela/literacy standard. Worksheets labeled with are accessible to help teaching pro subscribers only.

Print Our Twelfth Grade (Grade 12) Math Worksheets And Activities, Or Administer Them As Online Tests.

This follows chapter 1 of the grade 12 advanced functions mcgraw hill textbook Explore printable probability and statistics worksheets for 12th grade. Practice in the classroom, set as homework.

Worksheet Based On Using The Geometer's Sketchpad.

Enjoy these free printable sheets.

16 College Math Worksheets /

16 College Math Worksheets /

Grade 12 College Math Trigonometry Problems

Grade 12 College Math Trigonometry Problems

1st Grade Math Worksheets for Kids(KDP) Graphic by Design_store · Creative Fabrica

1st Grade Math Worksheets for Kids(KDP) Graphic by Design_store · Creative Fabrica

Algebra Printable Worksheets

Algebra Printable Worksheets

1st Grade Worksheets, Math Activities Preschool, Kindergarten Math Worksheets, Teaching Math

1st Grade Worksheets, Math Activities Preschool, Kindergarten Math Worksheets, Teaching Math

Math Worksheet College Math Problems Worksheets Like And Unlike Printable College Math

Math Worksheet College Math Problems Worksheets Like And Unlike Printable College Math

Printable College Math Worksheets159 Lyana Worksheets

Printable College Math Worksheets159 Lyana Worksheets

intro to algebra worksheets college algebra worksheets template business college math

intro to algebra worksheets college algebra worksheets template business college math

MCT4C Grade 12 Mathematics for College Technology Online Course

MCT4C Grade 12 Mathematics for College Technology Online Course

5th Grade Fractions Worksheets Math Monks

5th Grade Fractions Worksheets Math Monks

12 Grade Math Worksheets Wendelina

12 Grade Math Worksheets Wendelina

English Worksheets For Kindergarten, Worksheets For Kids, Math Tutor, Math Teacher, Love Math

English Worksheets For Kindergarten, Worksheets For Kids, Math Tutor, Math Teacher, Love Math

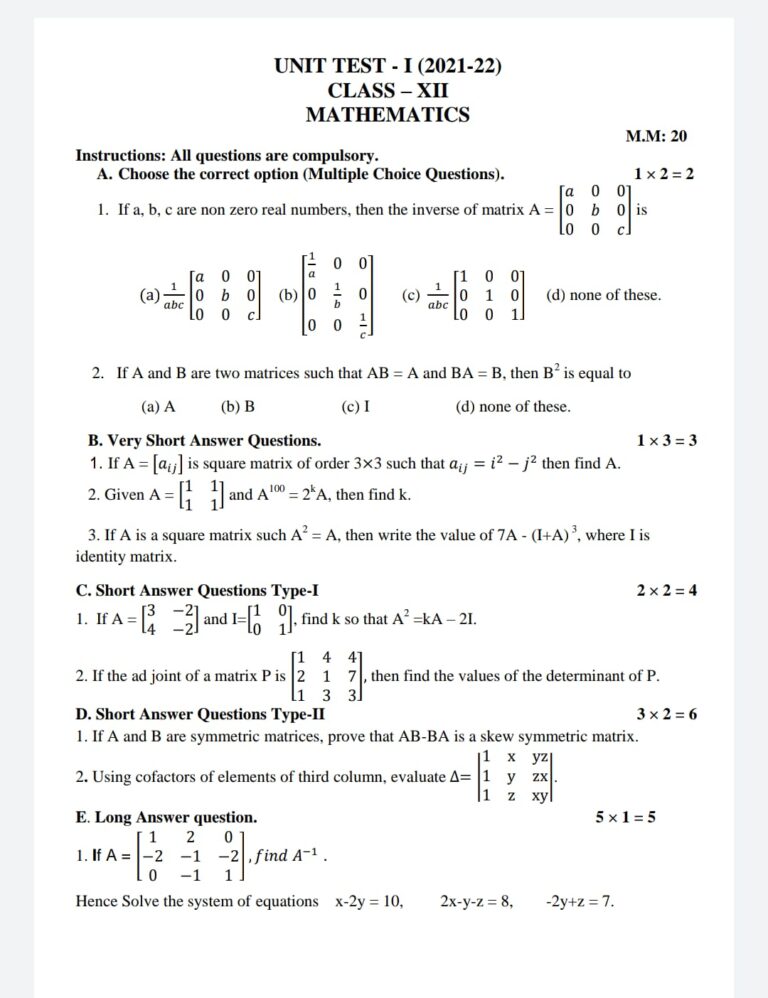
Class 12 Mathematics Unit Test Sample Paper CBSE News

Class 12 Mathematics Unit Test Sample Paper CBSE News

(PDF) Year End Review.notebook Grade 12 College Math · SOHCAHTOA, Sine Law, Cosine Law

(PDF) Year End Review.notebook Grade 12 College Math · SOHCAHTOA, Sine Law, Cosine Law

12th Grade Math Worksheets Free Printable Worksheet

12th Grade Math Worksheets Free Printable Worksheet